logo
دوره 26، شماره 4 - ( پائیز 1399 )                   جلد 26 شماره 4 صفحات 363-348 | برگشت به فهرست نسخه ها


XML English Abstract Print


Download citation:
BibTeX | RIS | EndNote | Medlars | ProCite | Reference Manager | RefWorks
Send citation to:

Sarani H, Navidian A, Ebrahimi tabas E, Abbasi Mendi A. Comparing the Effect of Duration and Site of Subcutaneous Injection of Enoxaparin on Pain Intensity and Bruising Size in Patients Admitted to Cardiac Care Units. Intern Med Today 2020; 26 (4) :348-363
URL: http://imtj.gmu.ac.ir/article-1-3451-fa.html
سارانی حامد، نویدیان علی، ابراهیمی طبس ابراهیم، عباسی مندی علی. مقایسه تأثیر مدت زمان و محل تزریق زیرجلدی انوکساپارین بر شدت درد و اندازه کبودی بیماران بستری در بخش مراقبت های قلبی. طب داخلی روز. 1399; 26 (4) :348-363

URL: http://imtj.gmu.ac.ir/article-1-3451-fa.html


1- گروه پرستاری پزشکی، جراحی و مراقبت های ویژه، دانشکده پرستاری و مامایی، دانشگاه علوم پزشکی زاهدان، زاهدان، ایران.
2- گروه پرستاری پزشکی، جراحی و مراقبت های ویژه، دانشکده پرستاری و مامایی، دانشگاه علوم پزشکی زاهدان، زاهدان، ایران. ، aliabbasimendi@yahoo.com
متن کامل [PDF 5581 kb]   (2427 دریافت)     |   چکیده (HTML)  (4810 مشاهده)
متن کامل:   (125074 مشاهده)
مقدمه
یکی از انواع داروهای ضد‌انعقاد، انوکساپارین سدیم، از گروه هپارین با وزن مولکولی کم است. از زمانی که هپارین با وزن مولکولی کم در سال 1980 توسعه یافت، کاربرد و استفاده از آن به‌ عنوان یکی از ارکان درمان و پیشگیری بیماری‌های ایسکمی قلبی اثبات و قطعی شده است [1]. انوکساپارین فواید بسیاری نسبت به هپارین معمولی دارد. فراهمی زیستی بالا و اتصال اندک به پروتئین‌های پلاسمایی باعث می‌شود دُز پاسخ آن قابل پیش‌بینی باشد، به ‌طوری ‌که نیاز به مانیتورینگ پلاسمایی ندارد. همچنین این دارو دارای نسبت اثر مهاری بر فاکتور Xa به فاکتور IIa بیشتری در مقایسه با هپارین معمولی است و کمتر به‌ وسیله فاکتور چهارپلاکتی مهار می‌شود. همچنین می‌تواند موجب مهار افزایش اولیه فاکتور ون ویلبراند شود که همگی موجب اثرات بالقوه ضد‌پلاکتی و کاهش فعالیت و تولید ترومبین می‌شود. انوکساپارین نسبت به هپارین معمولی منجر به کاهش خطر ترومبوسیتوپنی ناشی از هپارین می‌شود [2]. 
خصوصیات مفید انوکساپارین نسبت به هپارین معمولی باعث شده است تا جایگزین مناسب و ایمنی برای هپارین معمولی شود. جایگزینی انوکساپارین منجر به کاهش دفعات آنژین مکرر، سکته قلبی، نارسایی قلبی، جراحی‌های بای‌پس عروق کرونر و آنژیوپلاستی شده است [1]. انوکساپارین بایستی زیرپوست بین لایه چربی و بافت پیوندی پوست تزریق شود تا به‌آهستگی جذب شود. عدم آگاهی از تکنیک تزریق می‌تواند منجر به تزریق دارو به عضله و بروز آسیب برای بیمار شود [3]. 
تزریق زیر‌جلدی، یکی از شایع‌ترین اقدامات بالینی پرستاران است، اما در بیشتر موارد این تزریقات منجر به بروز واکنش‌های موضعی همانند درد و بروز کبودی در محل تزریق می‌‌شود [4]. اثرات نامطلوب تزریق زیرجلدی انوکساپارین شامل درد محل تزریق، خون‌ریزی، هماتوم‌های شدید دیواره شکم، نکروز پوست و بافت زیرجلدی است [5] و در استفاده طولانی‌مدت منجر به ترومبوسیتوپنی و استئوپروز می‌شود [6]. 
ظهور کبودی و هماتوم شایع‌ترین عارضه جانبی ناشی از تزریق زیرجلدی انوکساپارین است که بروز آن بین 10 تا 90 درصد متغیر است که 90 درصد بستگی به تکنیک تزریق دارد [8 ،7]. تزریق یکی از عوامل ایجادکننده درد در بیماران بستری است که به علت آسیب بافتی ناشی از تزریق ایجاد می‌شود [10 ،9]. خواص ضد‌انعقادی انوکساپارین در ایجاد درد پس از تزریق تأثیر داشته و دارو به دلیل داشتن پیوندهای سولفاتی در مولکول خود به‌شدت اسیدی بوده و همین عامل در بروز درد پس از تزریق نقش مهمی دارد [11]. درد ناشی از تزریق در درازمدت باعث اضطراب بیمار، ترس از سوزن و عدم اعتماد به مراقبین بهداشتی می‌شود. کبودی محل تزریق ناشی از خروج خون از عروق آسیب‌دیده به داخل بافت‌های زیرجلدی است که البته بروز این عوارض ارتباط مستقیم با حجم محلول تزریقی دارو، تکنیک تزریق، انتخاب محل تزریق و قطر سرسوزن قبل از تزریق دارد [12]. همچنین آسپیراسیون و ماساژ محل تزریق ممکن است در ایجاد کبودی مؤثر باشد [13]. کبودی ناشی از تزریق مشکلاتی از قبیل اضطراب، از دست دادن اعتماد به مراقبت پرستار، اختلال در تصویر ذهنی بیمار از جسم خویش و کاهش محل‌های در دسترس برای تزریقات بعدی ایجاد می‌کند [14، 15 ،9]. از آنجایی‌ که یکی از وظایف پرستاران، تزریق ایمن و دقیق داروهاست و پرستاران به‌عنوان اعضای تیم بهداشتی باید علاوه بر آشنایی با عوارض سوء داروها، از استراتژی‌های مناسب، مؤثر و مبتنی بر شواهد علمی برای کاهش آسیب‌های بالقوه ضمن مصرف آن‌ها بهره گیرند [16]، پرستاران تکنیک‌های متفاوتی را برای کاهش عوارض تزریقات زیرجلدی انوکساپارین، شامل انجام تزریق به ‌صورت عمودی ضمن بالا کشیدن پوست، عدم آسپیراسیون، پیش‌گیری از جابه‌جایی سرنگ ضمن تزریق و تعویض مکان‌های تزریق به کار می‌برند [4]. 
تغییر زمان و محل تزریق از تکنیک‌های مؤثر بر شدت درد و وقوع کبودی محل تزریق است که تحقیق در این زمینه از سال 1991 شروع‌ شده و تا به امروز ادامه داشته است. از جمله می‌توان به تحقیق چان به‌منظور بررسی تأثیر طول مدت تزریق هپارین زیرجلدی برشدت درد و اندازه کبودی محل تزریق اشاره کرد. نتایج تحقیق نشان داد که روش تزریق 30‌ثانیه‌ای سبب کبودی‌های کوچک‌تر و درد کمتر در محل تزریق می‌شود [9]. مداخلات دیگر از جمله سرد کردن پوست، تحریک لمسی نظیر فشار روی محل تزریق، سرد کردن سوزن یا گرم کردن محلول تزریقی و تعویض سر سوزن انجام‌ گرفته است [17] و همچنین مطالعاتی دیگری مثل تعویض سر سوزن قبل از تزریق، کاربرد سرما قبل و بعد از تزریق و تغییر طول مدت تزریق (تزریق 10‌ثانیه‌ای و 30 ثانیه‌ای) انجام ‌شده است [18، 19]. همچنین در تحقیقات مشابه در داخل کشور که روی تأثیر طول مدت تزریق بر بروز کبودی و درد ناشی از تزریق بیماران انجام‌ شده است، نتایج مشابه با تحقیق چان به ‌دست‌ آمده است [20، 21]. یکی دیگر از جنبه‌های تکنیک تزریق زیرجلدی انوکساپارین، انتخاب محل تزریق زیرجلدی است. عموماً محل قسمت قدامی جانبی و خلفی جانبی دیواره شکم به ‌عنوان قسمت ایده‌آل در نظر گرفته می‌شود، در حالی‌ که سعی می‌شود هپارین و هپارین با وزن مولکولی کم در 5‌سانتی‌متری اطراف ناف تزریق شود تا از آسیب به عروق نافی اجتناب شود [22]. چند پژوهش بروز کبودی و شدت درد را در تزریق روی شکم بررسی کرده‌اند که نتایج متفاوت و متناقض است [23، 24، 25، 26، 27، 28]. 
گاهی اوقات به دلیل وجود زخم، اسکار یا سایر آسیب‌های دیگر، محل تزریق دیگری باید برای تزریق انوکساپارین در نظر گرفته شود. پژوهش‌ها در بررسی تأثیر محل تزریق زیرجلدی (شکم، بازو و ران) بر شدت درد و اندازه کبودی نتایج متفاوت و متناقضی نشان می‌دهند. فهس و کینی، برای 101 بیمار داخلی جراحی با استفاده از تکنیک مشابه در محل‌های شکم، قسمت خارجی بازو و ران تزریق انجام دادند. نتایج نشان داد که تفاوت معنی‌داری در بروز اکیموز در سه محل وجود ندارد [29]. پور غزنین و همکاران در پژوهش خود گزارش کردند که شدت درد ناشی از تزریق در ران نسبت به شکم به ‌طور معنی‌داری بیش‌تر است؛ اما بین بروز و اندازه کبودی در محل شکم و ران تفاوت معنی‌داری وجود ندارد [30]. مهمت کایراک و همکاران در مطالعه خود گزارش کردند که تزریق زیرجلدی در ناحیه شکم ممکن است خطر تشکیل هماتوم به‌ویژه در بیماران مسن و بیمارانی که چربی شکمی نازکی دارند را افزایش دهد [31].
 کروک توصیه کرد که متخصصین مراقبت‌های بهداشتی بایستی در مورد عدم تزریق زیرجلدی انوکساپارین در شکم به بیماران سرپایی توصیه‌های لازم را بازگو کنند و اینکه تزریق در ناحیه بازو می‌تواند برای آن‌ها ایمن‌تر باشد [4]. سالمیس و همکاران گزارش کردند که تزریق انوکساپارین در شکم می‌تواند منجر به خون‌ریزی و هماتوم خود‌به‌خودی رتروپریتوئن و آسیب به وریدهای کلیه شود و پیشنهاد کردند که تزریق در ناحیه خارج بازو انجام شود [32]. آنرستن و ویلیام، و جولیا دومیسیانا و همکاران تکنیک تزریق انوکساپارین را در یک پژوهش مروری (متا‌آنالیز) مورد بررسی قرار دادند و به این نتیجه رسیدند که پژوهش‌های بیشتری موردنیاز است و با توجه به اینکه آزمودنی‌های مطالعات مختلف ناهمگن بوده و تکنیک‌های تزریق نیز متفاوت است، بنابراین مبنای علمی برای تکنیک‌های تزریق، ضعیف و نیازمند پژوهش بیشتر است [33]. تزریق زیرجلدی انوکساپارین در شکم یا بازو در علم پرستاری به نظر می‌رسد بیشتر بر اساس فرم روتین استوار باشد تا شواهد علمی [29]. هنوز هیچ توصیه دقیقی در مورد مدت‌زمان و محل مناسب تزریق زیرجلدی انوکساپارین در کتاب‌های دارویی و مقالات ارائه نشده است. 
در حال حاضر تزریق 10‌ثانیه‌ای به ‌عنوان یک شیوه مرسوم و به ‌عنوان روش کنترل در مقایسه با سایر روش‌ها به کار می‌رود و از تحقیقات صورت‌گرفته این‌طور استنباط می‌شود که تزریق سریع دارو باعث آسیب بافتی و پارگی مویرگ‌های خونی محل تزریق و همچنین نشت دارو به بافت اطراف و ایجاد درد، خون‌ریزی و کبودی می‌‌شود [11 ،12]. پژوهش‌های انجام‌شده تاکنون، نتایج ضدونقیضی در مورد مداخلات مختلف (کاربرد سرما، کاربرد گرما و غیره) و تأثیر آن بر بروز، اندازه کبودی و شدت درد ناشی از تزریق گزارش کرده‌اند. همچنین مطالعات معدود انجام‌شده در زمینه تأثیر زمان و محل تزریق انوکساپارین بر شدت درد و کبودی به‌ عنوان دو متغیر مهم نیز نتایج متفاوت و متناقضی گزارش کرده‌اند. در منابع بالینی پرستاری هم به زمان و محل خاصی اشاره نشده است و کمبود اطلاعات در این زمینه وجود دارد. 
بر اساس نتایج پژوهش‌ها یکی از علمی‌ترین اقدامات بالینی، تغییر مدت‌زمان و تغییر محل تزریق زیرجلدی است. همین امر می‌تواند در اندازه کبودی و شدت درد محل تزریق مؤثر باشد؛ بنابراین این مطالعه با هدف مقایسه تأثیر مدت‌زمان و محل تزریق زیرجلدی انوکساپارین بر شدت درد و اندازه کبودی بیماران بستری در بخش مراقبت‌های قلبی بیمارستان‌های آموزشی شهر زاهدان در سال 1398 انجام شد.
مواد و روش‌ها
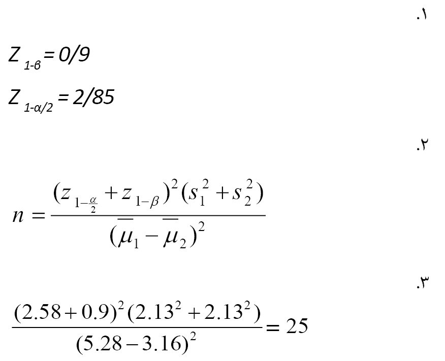
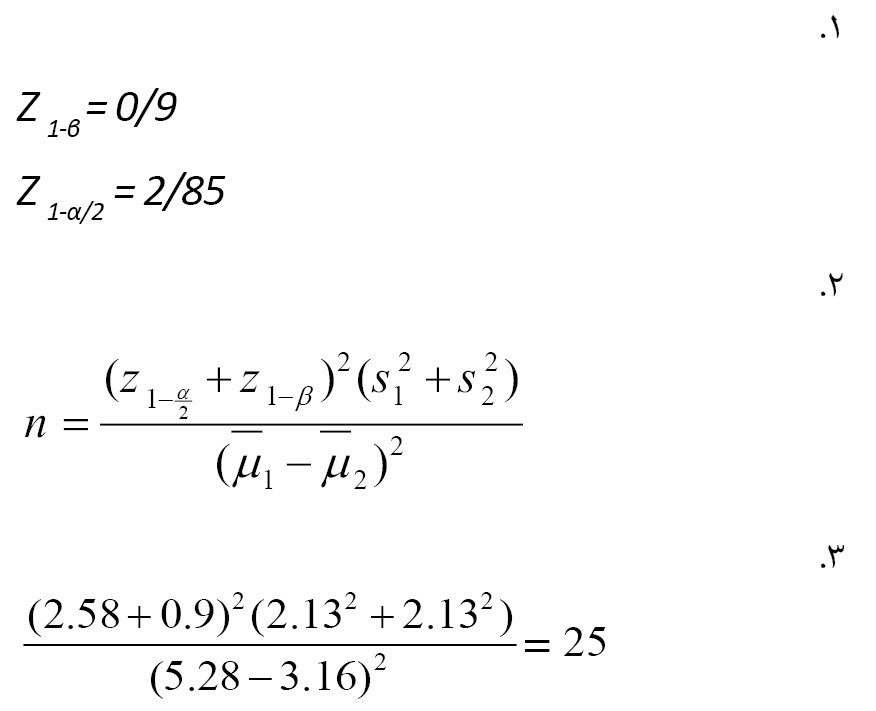
این پژوهش یک کار آزمایی بالینی تصادفی‌شده با دو گروه مداخله، موازی و یکسویه کور است که در آن تأثیر تکنیک‌ها و محل تزریق زیرجلدی انوکساپارین بر اندازه کبودی و شدت درد محل تزریق در بیماران بستری در بخش مراقبت‌های قلبی بیمارستان‌های آموزشی شهر زاهدان در سال 1398 بررسی و مقایسه شده است. شرکت‌کنندگان پژوهش از بیماران بستری در بخش‌های مراقبت قلبی CCU و PCCU انتخاب شدند. نمونه‌ها ابتدا با توجه به معیارهای ورود به مطالعه و مبتنی بر هدف انتخاب شدند و سپس به صورت تصادفی ساده بر اساس پرتاب سکه در یکی از دو گروه مداخله قرار گرفتند. در گروه اول، انوکساپارین با توجه به دستور پزشک (40 یا 60 میلی‌گرم) به ‌صورت زیرجلدی در ناحیه شکم و بازو با روش 30 ثانیه تزریق شد. در این روش پس از ورود سوزن به فضای زیر جلد، تزریق انوکساپارین به مدت 30 ثانیه انجام شد و فوراً سوزن از داخل بافت بیرون کشیده می‌شد. در گروه دوم نیز با توجه به دستور پزشک (40 یا 60 میلی‌گرم) انوکساپارین به‌ صورت زیرجلدی در ناحیه شکم و بازو با روش 5+15 ثانیه تزریق شد. در این روش پس از ورود سوزن به فضای زیر جلد، تزریق انوکساپارین به مدت 15 ثانیه انجام شد و پس از اتمام تزریق، سوزن به مدت 5 ثانیه در فضای زیر جلد باقی‌مانده و بعد خارج می‌شد. با توجه به کمی بودن متغیر مطالعه، با استفاده از فرمول مقایسه میانگین‌ها برای دو جامعه مستقل و بر اساس مطالعات مشابه انجام‌شده [33]، با در نظر گرفتن توان آزمون 90 درصد، ضریب اطمینان 99 درصد و احتمال ریزش 20 درصد، حجم نمونه به دست آمد که برای هر گروه 30 نفر و مجموعاً 60 نفر تعیین شد (فرمول‌های شماره 1 تا 3).   



S1‌= انحراف معیار شدت درد قبل از مداخله (2/13)
μ1= میانگین شدت درد قبل از مداخله (3/16)
S2= انحراف معیار شدت درد بعد از مداخله (2/13)
μ2= میانگین شدت درد بعد از مداخله (5/28)

معیارهای ورود به پژوهش شامل محدوده سنی 40 تا 75 سال، نداشتن بیماری‌های عصبی‌عضلانی، عدم بیماری پوستی و اختلال انعقادی شناخته‌شده، نداشتن دیابت نوع 1 یا نوع 2 که تحت درمان با انسولین باشد، عدم وجود تورم، زخم، خراشیدگی و قرمزی در ناحیه تزریق و شاخص توده بدنی بین 18/5 تا 30 بود. معیارهای خروج نیز شامل فوت بیمار، ترخیص بیمار قبل از 48 ساعت، دریافت داروی ضد‌انعقاد وریدی به هر دلیل و نیاز به تزریق زیرجلدی دیگر غیر از انوکساپارین در نواحی شکم و بازو بود. برای هر بیمار دو تزریق زیرجلدی با تکنیک یکسان در محل شکم و بازو انجام شد. محل تزریق زیرجلدی در ناحیه شکم در دیواره قدامی و سمت چپ شکم به فاصله 5 سانتی‌متر از ناف و محل تزریق زیرجلدی در ناحیه بازوی چپ و در قسمت میانی و خارج بازو بود. تمامی داروها به‌ صورت سرنگ از قبل پرشده انوکساپارین با حجم‌های 0/4 یا 0/6 میلی، با سر سوزن شماره 27 و با 0/2 میلی‌لیتر هوا (قفل هوا)، ساخت شرکت داروسازی سانوفی اونتیس فرانسه بود. در تمام طول انجام تکنیک، ایجاد چین‌پوستی، ورود و خروج سر سوزن با زاویه 90 درجه و عدم انجام آسپیراسیون انجام شد. از کرنومتر با برند Q&Q مدل HS43 ساخت کشور ژاپن برای اندازه‌گیری دقیق طول مدت تزریق زیرجلدی استفاده شد. شدت درد بلافاصله پس از هر تزریق و بزرگ‌ترین اندازه کبودی 24 و 48 ساعت پس از هر تزریق تعیین شد. برای بررسی دقیق اندازه کبودی، بعد از تزریق با ماژیک ضد‌آب دایره‌ای به شعاع 5 سانتی‌متر در اطراف ناحیه تزریق کشیده می‌شد تا از انتخاب آن ناحیه به ‌طور مجدد برای تزریقات بعدی اجتناب و ناحیه برای ارزیابی کبودی مشخص باشد. همچنین به بیمار آموزش لازم برای عدم مالش، خاراندن و دست‌کاری محل تزریق داده شد. 
به ‌منظور اجتناب از سوگیری، تمامی تزریقات توسط پژوهشگر انجام شد. همچنین اندازه‌گیری شدت درد و اندازه کبودی توسط کمک‌پژوهشگری که از تکنیک تزریق آگاهی نداشت انجام شد (به ‌منظور کورسازی). پروتکل استاندارد تزریق ایمن برای تمامی واحدهای پژوهش اجرا شد [34]. ابزار گرداوری داده‌ها فرمی مشتمل بر سه قسمت بود. در قسمت اول اطلاعات جمعیت‌شناختی و بیماری در فرمی که توسط پژوهشگر (نویسنده مسئول) آماده‌شده بود، جمع‌آوری شد. قسمت دوم و سوم ابزار شامل مقیاس دیداری درد و فرم ثبت اندازه کبودی با استفاده از خط‌کش شفاف میلی‌متری بود که توسط کمک‌پژوهشگر ناآگاه به تکنیک تزریق تکمیل شد. مقیاس دیداری درد (VAS) استفاده از خط 10 سانتی‌متری مدرج است که نمره 10 برای شدیدترین درد و نمره صفر برای حالت بدون درد در نظر گرفته می‌شود. میزان درد توسط بیمار روی خط تعیین می‌شود [35]. ابزار دیداری سنجش درد، پرکاربردترین ابزار سنجش درد در دنیاست، علاوه بر روایی و پایایی، مهم‌ترین ویژگی این ابزار سادگی استفاده از آن است. در پژوهش‌های متعددی در خارج از کشور روایی و پایایی این ابزار تأیید شده است [36] و در ایران نیز پایایی این مقیاس با ضریب همبستگی 0/88=r مورد تأیید قرارگرفته است [37]. 
داده‌ها پس از جمع‌آوری و کدگذاری وارد نرم‌افزار SPSS- نسخه 21 شد و مورد تجزیه ‌و تحلیل قرار گرفت. ابتدا فراوانی، درصد، میانگین و انحراف معیار متغیرها به کمک آمار توصیفی تعیین شد. برای تجزیه و تحلیل داده‌ها ابتدا تبعیت داده‌ها از توزیع نرمال با استفاده از آزمون کولموگروف اسمیرنوف مورد بررسی قرار گرفت که مشخص شد داده‌ها از توزیع نرمال تبعیت می‌کنند و به همین دلیل از آزمون‌های پارامتریک تی مستقل و تی زوجی برای تحلیل داده‌ها استفاده شد. برای مقایسه میانگین شدت درد و اندازه کبودی بین دو گروه از آزمون تی مستقل و برای مقایسه میانگین شدت درد و اندازه کبودی یک بیمار در دو ناحیه از آزمون تی زوجی استفاده شد. همچنین به ‌منظور مقایسه فراوانی متغیرهای کیفی دو گروه، از آزمون کای‌دو استفاده شد. سطح معنی‌داری در این پژوهش کمتر از 0/05 بود.
یافته‌ها
تعداد شرکت‌کنندگان این پژوهش 60 نفر بودند. کم‌ترین سن آزمودنی ها 42 و بیش‌ترین سن 75 سال بود. میانگین سن در گروه تزریق 30 ثانیه 6/41±‌62/86 و در گروه تزریق 5+15 ثانیه 7/54±62/03 بود. از نظر جنسیت در گروه تزریق 30 ثانیه 46/7 درصد بیماران مرد و 3/53 درصد زن بودند. در گروه تزریق 5+15 ثانیه 52 درصد مرد و 48 درصد زن بودند. تمام بیماران در هر دو گروه از نظر وضعیت زناشویی، متأهل بودند. نتایج آزمون آماری نشان داد دو گروه مداخله از نظر جنس، وضعیت تأهل، سطح تحصیلات، بخش بستری و تشخیص پزشکی همگن بودند و اختلاف معنی‌داری نداشتند (جدول شماره 1).
 

بیشترین میزان گزارش شدت درد در تکنیک 5+15 ثانیه در محل بازو با نمره 6 بود. بزرگ‌ترین اندازه کبودی 48 ساعت پس از تزریق با تکنیک تزریق 30 ثانیه در محل شکم 10 و در محل بازو 30 میلی‌متر بود. همچنین بزرگ‌ترین اندازه کبودی 48 ساعت پس از تزریق با تکنیک 5+15 ثانیه در محل شکم 18 و در محل بازو 36 میلی‌متر بود.
آزمون تی مستقل نشان داد میانگین شدت درد تزریق زیرجلدی در محل شکم و بازو در روش 30 ثانیه نسبت به روش 5+15 ثانیه به ‌طور معنی‌داری کمتر است (0/001>‌P) (جدول شماره 2). 



آزمون تی مستقل نشان داد میانگین اندازه کبودی هر دو محل تزریق (شکم و بازو) پس از 24 ساعت (بر حسب میلی‌متر) در گروه تزریق 30 ثانیه نسبت به گروه تزریق 5+15 ثانیه به ‌طور معناداری کمتر است (0/001>‌P). نتیجه آزمون تی زوجی نشان داد که در روش تزریق 5+15 ثانیه، میانگین اندازه کبودی 24 ساعت پس از تزریق در محل تزریق شکم در مقایسه با محل تزریق بازو تفاوت معناداری نداشته است (0/144=P). (جدول شماره 3). 



آزمون تی مستقل نشان داد میانگین اندازه کبودی در محل تزریق شکم و بازو پس از 48 ساعت (بر حسب میلی‌متر) در گروه تزریق 30 ثانیه نسبت به گروه تزریق 5+15 ثانیه به ترتیب به ‌طور معناداری کمتر است (0/004=P و 0/061=P). نتیجه آزمون تی زوجی نشان داد در روش تزریق 30 ثانیه، میانگین اندازه کبودی 48 ساعت پس از تزریق در محل تزریق شکم در مقایسه با محل تزریق بازو به ‌طور معناداری کمتر است (0/001>‌P). همچنین نتیجه آزمون تی زوجی نشان داد میانگین اندازه کبودی 48 ساعت پس از تزریق در محل شکم در مقایسه با محل تزریق بازو در روش 5+15 ثانیه تفاوت معناداری نداشته است (0/134=P) (جدول شماره 4). 



بحث
پژوهش حاضر با هدف مقایسه تأثیر مدت‌زمان و محل تزریق زیرجلدی انوکساپارین بر شدت درد و اندازه کبودی بیماران بستری در بخش مراقبت‌های قلبی بیمارستان‌های آموزشی شهر زاهدان در سال 1398 انجام شد. مشخص شد که روش تزریق 30 ثانیه نسبت به 5+15 ثانیه منجر به کبودی کمتر در ناحیه شکم و بازو می‌شود. همچنین در ناحیه شکم نسبت به بازو 24 و 48 ساعت پس از تزریق اندازه کبودی کمتر بود. 
نتایج نشان داد که تزریق زیرجلدی انوکساپارین با روش 30 ثانیه منجر به درد کمتر در دو محل شکم و بازو می‌شود. همچنین میانگین شدت درد محل شکم نسبت به بازو کمتر است. در مورد ارتباط تکنیک تزریق زیرجلدی با شدت درد و اندازه کبودی، داد آئین و همکاران در پژوهش خود گزارش کردند که افزایش مدت‌زمان تزریق (تزریق 30 ثانیه) منجر به کاهش درد و اندازه کبودی می‌شود [20]. خانی جیحونی نیز گزارش کرد افزایش زمان (تزریق 30 ثانیه) منجر به کاهش اندازه کبودی می‌‌شود [38]. همچنین پژوهش‌های انجام‌شده در خارج از کشور ازجمله پژوهش چان (2001) نشان داد روش تزریق 30 ثانیه منجر به کبودی و درد کمتر در ناحیه تزریق می‌شود [9]. زیبک نیز گزارش کرد که تزریق 30‌ثانیه‌ای منجر به کبودی کمتر و شدت و مدت درد کمتر نسبت به تکنیک 10 ثانیه می‌شود [21]. بالکی آکپینار نیز گزارش کرد که در تزریق 30 ثانیه و 10+10 ثانیه (10 ثانیه تزریق و 10 ثانیه تأخیر در خروج سر سوزن) نسبت به روش 10 ثانیه کبودی کمتر اتفاق می‌افتد [39]. نتایج این پژوهش‌ها که به بررسی متغیرهای درد و کبودی پرداخته‌اند با نتایج پژوهش حاضر همسوست. پور‌صفر و همکاران گزارش کردند که تزریق 10 ثانیه نسبت به 20 ثانیه با کنترل اثرات متغیرهای مداخله‌گر، تأثیر کاهنده بر اندازه کبودی دارد [40]. رحمانی انارکی و همکاران در پژوهش خود گزارش کردند که روش تزریق زیرجلدی 10 ثانیه و 10+10 ثانیه در محل شکم تأثیری برشدت درد و اندازه کبودی 24، 48 و 72 ساعت پس از تزریق ندارد [28]. نتایج مطالعه چنیچکو همکاران نشان داد که تفاوت آماری معنی‌داری بین شدت درد و اندازه کبودی در دو روش تزریق 30 و 10 ثانیه در محل شکم وجود ندارد [41]. نتایج پژوهش نوین کوزو نیز نشان داد تزریق با روش 30 ثانیه همراه با کاربرد سرما در محل شکم تأثیری بر اندازه کبودی ندارد، اما منجر به کاهش درد محل تزریق می‌شود [42]. این نتایج بررسی‌شده در پژوهش‌های داخلی و خارجی با نتایج پژوهش حاضر هم‌خوانی ندارد. 
با توجه به اینکه در برخی پژوهش‌ها تعداد نمونه‌ها کم است، یا روی بیماران بستری در بخش‌های مختلف انجام‌ شده است یا دُز دارو ثابت است یا مداخلاتی قبل، حین یا بعد از تزریق انجام‌شده است، این عوامل می‌تواند در عدم معنی‌دار شدن تفاوت در گروه‌ها و عدم هم‌خوانی با نتایج پژوهش حاضر مؤثر باشد. با عنایت به اینکه این پژوهش اولین مطالعه داخل کشور است که مقایسه شدت درد و اندازه کبودی محل تزریق زیرجلدی انوکساپارین را در محل شکم و بازو مورد بررسی قرار داده است، نتایج پژوهش حاضر با پژوهش‌های دیگر که محل تزریقی غیر از شکم نیز داشته‌اند مورد بررسی و مقایسه قرار گرفت. 
جارنوکولادو و همکاران در پژوهشی که باهدف مقایسه بروز عوارض ناشی از تزریق زیرجلدی انوکساپارین (کبودی و هماتوم) در دو ناحیه بازو و شکم انجام دادند، گزارش کردند که میانگین اندازه کبودی 72 ساعت پس از تزریق در محل شکم نسبت به بازو به ‌طور معنی‌داری کمتر است. همچنین بین اطلاعات جمعیت‌شناختی، متغیرهای بالینی و شاخص توده بدنی بین گروه‌ها تفاوت معنی‌داری وجود نداشت [25] که با یافته‌های پژوهش حاضر همسوست. پورغزنین و همکاران در پژوهشی به بررسی تأثیر چهار تکنیک تزریق انوکساپارین در دو محل شکم و ران پرداختند و گزارش کردند میانگین شدت درد در محل شکم نسبت به ران کمتر است. همچنین بین فراوانی و اندازه کبودی در محل تزریق شکم و ران تفاوت معنی‌داری وجود ندارد [30]. 
زراعت‌کار و همکاران نیز گزارش کردند که تزریق زیرجلدی هپارین با تکنیک یکسان بر اندازه کبودی در سه محل تزریق شکم، ران و بازو تأثیری ندارد، اما شدت درد محل تزریق به ترتیب در شکم، ران و بازو کمتر است [43]. در پژوهش مذکور به تکنیک تزریق، نوع بیماران و سایر متغیرها به ‌عنوان عوامل مؤثر برشدت درد و اندازه کبودی محل تزریق زیرجلدی اشاره‌ای نشده است و این نکته می‌تواند در عدم معنی‌داری و تعمیم نتایج تأثیر بگذارد. فاش و کینی نیز در پژوهش‌های خود نشان دادند که بین بروز و اندازه کبودی محل تزریق در شکم و ران تفاوت معنی‌داری وجود ندارد [29]. با ‌وجود این، داسیلوا و همکاران ایجاد هماتوم شدید در محل ران نسبت به بازو و هماتوم شدید در بازو در مقایسه با شکم را گزارش کردند [44]. بروز هماتوم در ناحیه شکم، بازو و ران می‌تواند در اثر تحرک بیماران باشد که در پژوهش داسیلوا به آن اشاره‌ای نشده است. 
نتیجه‌گیری
نتایج پژوهش حاضر نشان داد افزایش زمان تزریق زیرجلدی انوکساپارین از روش روتین در 10 ثانیه به 30 ثانیه، کاهش چشمگیری در شدت درد و اندازه کبودی ناشی از تزریق زیرجلدی انوکساپارین ایجاد می‌شود. همچنین مشخص شد تزریق زیرجلدی انوکساپارین در ناحیه شکم و استفاده از تکنیک تزریق 30 ثانیه منجر به احساس شدت درد کمتر و اندازه کبودی کوچک‌تر نسبت به تزریق زیرجلدی انوکساپارین در ناحیه بازو می‌شود. انجام مطالعات بیشتر برای تأیید این یافته پیشنهاد می‌شود.
پژوهش حاضر نیز همانند سایر پژوهش‌ها دارای محدودیت‌هایی بوده است. از محدودیت‌های این پژوهش می‌توان به این موارد اشاره کرد: بیماران فقط در صورت بستری شدن در بخش مراقبت‌های قلبی در بیمارستان‌های آموزشی شهر زاهدان در مطالعه وارد شدند، درنتیجه توانایی تعمیم نتایج مطالعه به کل جمعیت بیماران کاهش می‌یابد. درد یک تجربه ذهنی است و کمک‌پژوهشگر باید آنچه را بیمار گزارش کرده است ثبت کند. این داده‌های ذهنی ممکن است منجر به سوگیری احتمالی در نتایج شود. همچنین استفاده از همان بیمار برای هر دو تزریق به شرکت‌کننده این امکان را می‌دهد که پیش از موعد مقرر شدت درد را برای تزریق دوم پیش‌بینی و تعیین کند؛ بنابراین، توصیه می‌شود مطالعات مشابهی در مورد گروه‌های مختلف بیماران و در مراکز بیشتر انجام شود. همچنین برای هر بیمار یک تزریق انجام گیرد.
ملاحظات اخلاقی
پیروی از اصول اخلاق پژوهش

در ایـن مطالعـه تمـام موازیـن و مقـررات اخـلاق در پژوهـش رعایـت شـده اسـت کـه از جمله آن‌ها می‌توان بـه رعایـت اصـل محرمانگـی اطلاعات، حـق انصـراف از ادامـه مطالعـه و اخـذ رضایـت کتبـی و آگاهانه از مشارکت‌کنندگان اشـاره کـرد. پژوهشـگران کلیـه کدهای اخلاقـی مربـوط بـه تحقیقـات روی نمونه‌های انســانی را رعایــت و مجوزهــای لازم را از مراجــع ذی‌صلاح اخـذ کردند. همچنین کد اخلاقی از کمیته اخلاق در پژوهش‌ دانشگاه علوم‌پزشکی زاهدان و کمیته ملی اخلاق در پژوهش‌ زیست پزشکی با کد IRZAUMS.REC.1397.415 دریافت شد. این پژوهش در مرکز بین‌المللی کارآزمایی‌های بالینی ایران به شماره IRCT20150106020581N2 ثبت‌شده است و تمام دستورالعمل‌های مصوب کمیته اخلاق دانشگاه علوم‌پزشکی زاهدان در جریان مطالعه لحاظ شده است.
حامی مالی
ایــن پژوهش حاصــل پایان‌نامه کارشناسی ارشد پرستاری، مصــوب شــورای پژوهشــی تحصیلات تکمیلی دانشکده پرستاری و مامایی دانشگاه علوم‌پزشکی زاهدان به شماره 8907 بود و بـا حمایـت مالـی معاونـت پژوهشـی دانشکده پرستاری و مامایی دانشگاه علوم‌پزشکی زاهدان انجام‌ شده اســت.
مشارکت نویسندگان
تمام نویسندگان در آماده‌سازی این مقاله مشارکت داشته‌اند. 
تعارض منافع
نویســندگان ایــن مقالــه اعــلام می‌دارند هیچ‌گونه تضــاد منافعــی در ایــن نوشــتار وجــود نــدارد.
تشکر و قدردانی
نویسـندگان بـر خـود لازم می‌دانند مراتـب تشـکر خـود را از دانشکده پرستاری و مامایی و همچنین حمایت مالــی معاونــت پژوهشــی دانشکده پرستاری و مامایی دانشــگاه علوم‌پزشکی زاهدان اعـلام کنند. همچنین نویسندگان مراتب تشکر خود را از مسئولان و پرسنل بیمارستان‌های آموزشی شهر زاهدان که در اجرای این پژوهش نویسندگان را یاری کردند اعلام می‌دارند. تشـکر ویژه نویسـندگان از بیماران بستری مشارکت‌کننده در ایـن مطالعـه اسـت کـه با علاقه و صمیمیـت در ایـن مطالعـه شـرکت کردنـد.

 

 References
1.Malloy RJ, Rimsans J, Rhoten M, Sylvester K, Fanikos J. Unfractionated heparin and low-molecular-weight heparin. In: Lau JF, Barnes GD, Streiff MB, editors. Anticoagulation therapy. London: Springer; 2018. pp. 31-57. [DOI:10.1007/978-3-319-73709-6_3]
2.Kiani R, Alemzadeh-Ansari MJ, Feghhi V, Firouzi A, Sanati HR, Zahedmehr A, et al. Comparison of enoxaparin versus heparin among patients undergoing elective coronary angiography via radial artery access. Research in Cardiovascular Medicine. 2018; 7(1):15-9. [DOI:10.4103/rcm.rcm_15_17]
3.Hunter J. Subcutaneous injection technique. Nursing Standard (through 2013). 2008; 22(21):41-4. [DOI:10.7748/ns2008.01.22.21.41.c6418] [PMID]
4.Crooke B, Callaway LK. Fatal haemorrhage associated with enoxaparin. Internal Medicine Journal. 2007; 37(3):207-8. [DOI:10.1111/j.1445-5994.2006.01288.x] [PMID]
5.Gómez MJ, Martínez MA, García I. What is the ideal technique to reduce local complications secondary to subcutaneous enoxaparin administration? A randomized clinical trial. Enfermería Clínica. 2005; 15(6):329-34. [DOI:10.1016/S1130-8621(05)71139-6]
6.Gray E, Mulloy B, Barrowcliffe TW. Heparin and low-molecular-weight heparin. Thrombosis and Haemostasis. 2008; 99(5):807-18. [DOI:10.1160/TH08-01-0032] [PMID]
7.Avşar G, Kaşikçi M. Assessment of four different methods in subcutaneous heparin applications with regard to causing bruise and pain. International Journal of Nursing Practice. 2013; 19(4):402-8. [DOI:10.1111/ijn.12079] [PMID]
8.Manrique GA, Gámez GG, París MJM, Anrique FA, Parísc MJM, Cáceres EDRG, et al. Low molecular weight heparins and hematoma. Enfermería Clínica. 2002; 12(3):89-93. [DOI:10.1016/S1130-8621(02)73735-2]
9.Chan H. Effects of injection duration on site-pain intensity and bruising associated with subcutaneous heparin. Journal of Advanced Nursing. 2001; 35(6):882-92. [DOI:10.1046/j.1365-2648.2001.01925.x] [PMID]
10.Taylor C, Lillis C, LeMone P. Fundamental of nursing: The art and science of nursing care. Dimensions of Critical Care Nursing. 1990; 9(1):28. [DOI:10.1097/00003465-199001000-00006]
11.Sanagoo A, Kor A, Jouybari L, Shirafkan A, Batyar SM, Nasiri E, et al. [A study on the effect of the duration of subcutaneous heparin injection on bruising and Pain of Panje Azar Hospital in Gorgan, 2008 (Persian)]. Journal of Research Development in Nursing & Midwifery. 2011; 8(1):11-9. http://nmj.goums.ac.ir/article-1-110-fa.html
12.Nair P, Kaur S, Sharma YP. Effect of time taken in injecting subcutaneous heparin injection with reference to site pain and bruising among patients receiving heparin therapy. Nursing and Midwifery Research. 2008; 4(1). [DOI:10.33698/NRF0076]
13.Christensen BL, Kockrow EO. Foundations of Nursing-E-Book. North Platte: Elsevier Health Sciences; 2013. https://books.google.ae/books?id=R9PsAwAAQBAJ&dq
14.Akpinar RB, Celebioglu A. Effect of injection duration on bruising associated with subcutaneous heparin: A quasi-experimental within-subject design. International Journal of Nursing Studies. 2008; 45(6):812-7. [DOI:10.1016/j.ijnurstu.2007.02.005] [PMID]
15.Klingman L. Effects of changing needles prior to administering heparin subcutaneously. Heart & Lung: The Journal of Acute and Critical Care. 2000; 29(1):70-5. [DOI:10.1016/S0147-9563(00)90041-4]
16.Beyea SC. Anticoagulants: Be alert for errors. AORN Journal. 2009; 89(1):203-5. [DOI:10.1016/j.aorn.2008.12.018] [PMID]
17.Perry AG, Potter PA, Ostendorf W. Nursing interventions & clinical skills. Maryland Heights, Missour; 2012. https://books.google.com/books?id=CbqYcQAACAAJ&dq
18.Babaie Asl F, Kheradmand M, Jafarian R. [Effect of duration of subcutaneous heparin injection on its subsequent pain (Persian)]. Feyz: Journal of Kashan University of Medical Sciences. 2008; 12(2):34-8. http://feyz.kaums.ac.ir/article-1-636-fa.html
19.Tehrani Neshat B, Azizzadeh Fooroozi M, Mohammad Alizadeh S. [Study of the relation between duration of injection of subcutaneous heparin and extent of local skin discoloration at the Fatima and Shahid Beheshti cardiac hospitals, Shiraz, 2002 (Persian)]. J Shahid Sadoughi Univ Med Sci. 2005; 12(4):86-94. http://jssu.ssu.ac.ir/article-1-1376-fa.html
20.Dadaeen A, Bahreini M, Bazi P, Ostovar A, Raeisi A, Dobaradaran S. The effect of duration of subcutaneous injection on the extent of bruising and pain intensity at injection sites among patients receiving enoxaparin sodium: A randomized self-controlled clinical trial. International Cardiovascular Research Journal. 2017; 9(2):e11301. https://sites.kowsarpub.com/ircrj/articles/11301.html
21.Zaybak A, Khorshid L. A study on the effect of the duration of subcutaneous heparin injection on bruising and pain. Journal of Clinical Nursing. 2008; 17(3):378-85. [DOI:10.1111/j.1365-2702.2006.01933.x] [PMID]
22.Rushing J. Administering an enoxaparin injection. Nursing. 2018 2008; 38(3):19. [DOI:10.1097/01.NURSE.0000312604.60149.84] [PMID]
23.Dehghani K, Dehghani H, Najari Z. جEffect of subcutaneous enoxaparin injection duration on site-pain intensity in acute coronary syndrome patients hospitalized in CCU Afshar Hospital, Yazd, 2011 (Persian)]. Journal of Shahid Sadoughi University of Medical Sciences. 2012; 20(4):517-23. http://jssu.ssu.ac.ir/article-1-2142-en.html
24.Farnia F, Zeighamian S, Dehghani K, Lotfi H. [Comparison of the effect of emla cream and cold compress on the pain intensity of enoxaparin injection (Persian)]. Journal of Community Health. 2017; 8(2):39-46. http://chj.rums.ac.ir/article_45721.html
25.Jareno-Collado R, Sanchez-Sanchez MM, Fraile-Gamo MP, Garcia-Crespo N, Barba-Aragon S, Bermejo-Garcia H, et al. Ecchymosis and/or haematoma formation after prophylactic administration of subcutaneous enoxaparin in the abdomen or arm of the critically ill patient. Enfermería Intensiva (English ed.) 2018; 29(1):4-13. [DOI:10.1016/j.enfie.2017.11.001]
26.poursafar Z, Jafroudi S, Kazemnezhad E. The effect of subcutaneous enoxaparin sodium injection duration and extent of the incidence of injection site bruising hospitalized patients at Rasht Educational-Medical Center of Heshmat in 2015. Iran: Gilan university of medical sciences; 2015.
27.Rahmani Anaraki H, Farhan Ranjbar M, Abdollahi AA, Behnam Pour N. [The effect of injection duration of subcutaneous Enoxaparin Sodium on pain intensity and bruising of injection site (Persian)]. Journal of Research Development in Nursing & Midwifery. 2013; 10(1):10-6. http://nmj.goums.ac.ir/article-1-312-fa.html
28.Rahmani Anaraki H, Farhange Ranjbar M, Kavosi A, Nasiri H, Shariati AR. [Effect of local cold on pain and bruising at the injection site of subcutaneous enoxaparin sodium (Persian)]. Journal of Research Development in Nursing & Midwifery. 2014; 11(2):15-21. http://nmj.goums.ac.ir/article-1-622-fa.html
29.Fahs PS, Kinney MR. The abdomen, thigh, and arm as sites for subcutaneous sodium heparin injections.
30.Nursing Research. 1991; 40(4):204-7. [DOI:10.1097/00006199-199107000-00004] [PMID]
31.Pourghaznein T, Vahedian Azimi A, Asghari Jafarabadi M. The effect of injection duration and injection site on pain and bruising of subcutaneous injection of heparin. Journal of Clinical Nursing. 2014; 23(7-8):1105-13. [DOI:10.1111/jocn.12291] [PMID]
32.Kayrak M, Bacaksiz A, Yazici M. Is enoxaparin injection from the abdominal wall safe in elderly people? A fatal case of rectus sheath hematoma. Canadian Family Physician. 2008; 54(9):1246-8. [PMID] [PMCID]
33.Salemis NS, Oikonomakis I, Lagoudianakis E, Boubousis G, Tsakalakis C, Sourlas S, et al. Enoxaparin-induced spontaneous massive retroperitoneal hematoma with fatal outcome. American Journal of Emergency Medicine. 2014; 32(12):1559.e1-3. [DOI:10.1016/j.ajem.2014.05.026] [PMID]
34.Annersten M, Willman A. Performing subcutaneous injections: A literature review. Worldviews on Evidence-Based Nursing. 2005; 2(3):122-30. [DOI:10.1111/j.1741-6787.2005.00030.x] [PMID]
35.Ogston-Tuck S. Subcutaneous injection technique: An evidence-based approach. Nursing Standard. 2014; 29(3):53-8. [DOI:10.7748/ns.29.3.53.e9183] [PMID]
36.Bijur PE, Silver W, Gallagher EJ. Reliability of the visual analog scale for measurement of acute pain. Academic Emergency Medicine. 2001; 8(12):1153-7. [DOI:10.1111/j.1553-2712.2001.tb01132.x] [PMID]
37.Mendelson G, Selwood TS. Measurement of chronic pain: A correlation study of verbal and nonverbal scales. Journal of Psychopathology and Behavioral Assessment. 1981; 3(4):263-9. [DOI:10.1007/BF01350830]
38.Rezvani Amin M, Siratinayer M, Moradyan T. [Correlation between visual analogue scale and short form of McGill questionnaire in patients with chronic low back pain (Persian)]. Qom University of Medical Sciences Journal. 2012; 6(1):31-4. http://journal.muq.ac.ir/article-1-583-fa.html
39.Bijani M, Amirkhani M, Valizadeh G, Kashfi SH, Khani Jeihooni A. The effect of subcutaneous injection duration on bruising due to Clexane (Enoxaparin) injection in patients with ACS hospitalized in CCU and Post CCU wards in Vali-e Asrhospital of Fasain 2014.International Journal of Medical Research and Health Sciences. 2016; 5(11):580-3. https://www.ijmrhs.com/abstract/the-effect-of-subcutaneous-injection-duration-on-bruising-due-to-clexane-enoxaparin-injection-in-patients-with-acs-hospi-1647.html
40Balci Akpinar R, Celebioglu A. Effect of injection duration on bruising associated with subcutaneous heparin: A quasi-experimental within-subject design. International Journal of Nursing Studies. 2008; 45(6):812-7. [DOI:10.1016/j.ijnurstu.2007.02.005] [PMID]
41.Poursafar Z, Jafroudi S, Baghaei M, Kazemnezhad Leyli E, Zarrizei M. Incidence and extent of bruising after subcutaneous injection of enoxaparin sodium in patients hospitalized at coronary care units. Journal of Holistic Nursing And Midwifery. 2019; 29(2):90-6. [DOI:10.32598/JHNM.29.2.90]
42.Chenicek TE. Effects of injection duration on site-pain intensity and bruising associated with subcutaneous administration of Lovenox (Enoxaparin Sodium)] [MSc. thesis]. Florida: Florida State University; 2004. https://fsu.digital.flvc.org/islandora/object/fsu%3A182068
43.Kuzu N, Ucar H. The effect of cold on the occurrence of bruising, haematoma and pain at the injection site in subcutaneous low molecular weight heparin. International Journal of Nursing Studies. 2001; 38(1):51-9. [DOI:10.1016/S0020-7489(00)00061-4] [PMID]
44.Zeraatkari K, Karimi M, Shahrzad MK, Changiz T. Comparison of heparin subcutaneous injection in thigh, arm & abdomen. Can J Anesth. 2005; 52:A109.[DOI:10.1007/BF03023147]
45.da Silva AA, Cassiani SH, Optiz SP. [Evaluation of the technique of subcutaneous administration of heparin in the development of hematomas (Portuguese)]. Rev Bras Enferm. 2002; 55(2):128-33. [DOI:10.1590/S0034-71672002000200003] [PMID]
نوع مطالعه: پژوهشی | موضوع مقاله: علوم پايه پزشكي
دریافت: 1398/10/2 | پذیرش: 1399/2/23 | انتشار: 1399/7/10

بازنشر اطلاعات
Creative Commons License این مقاله تحت شرایط Creative Commons Attribution-NonCommercial 4.0 International License قابل بازنشر است.